北航新闻网4月12日电(通讯员 屈秋林)2022年4月6日,365英国上市公司陈曦教授的“湍流边界层有限耗散率理论”被流体力学知名学术期刊、英国剑桥大学Journal of Fluid Mechanics(JFM)评选为2022年4月的“焦点”(Focus on Fluids-FOF)。FOF专栏推送我国国内学者的研究工作目前尚属首次。
自2009年创办FOF专栏以来,JFM每月只挑选一篇论文作为“焦点”推送,并邀请行内专家撰写深入的介绍——“被选中的文章要求独特;其研究内容、重要性和应用价值将会被推荐给广泛的读者群,其关键的发现、突破性的进展和对未来研究的影响将被着重讨论”。此次,FOF责任编辑、剑桥大学Jerome Neufeld教授邀请了湍流边界层的资深学者,澳大利亚墨尔本大学和美国新罕布什尔大学双边任职的JoeKlewicki教授,撰写了“有限耗散率预测有界近壁湍流”一文介绍陈曦教授的工作。
在五页长的FOF文章中,Klewicki教授详细回顾了陈曦教授入职北航以来的连续两篇担任第一作者和唯一通讯作者的JFM论文(Chen & Sreenivasan, 2021 JFM; 2022 JFM),并介绍了“有限耗散率理论”的物理内涵、数学公式和学术价值。他指出,新提出的理论公式
“刻画了近壁湍流脉动的变化规律”,“预测了有界的湍流脉动极值”,“在物理直觉上合理”,“在数学分析上简明而有吸引力”,“在湍流如何过渡到无穷大雷诺数渐近态的问题上将激发研究者重新思考以前的经验发现”,因此“是一项重要的”和“令人兴奋的进展”。他评价,这项工作“挽救了内区粘性尺度归一的标度关系”,“为湍流模型提供了雷诺数依赖的函数”,“为高质量的大雷诺数实验和计算带来了明确的动力”,因此“期待更多数据开展检验和发展”。

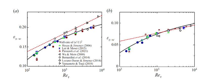
湍流边界层能量耗散率的最大值随着雷诺数增加而增大。(a)流向湍动能耗散率;(b)展向湍动能耗散率。实线为陈曦教授系列工作给出的理论预言,在雷诺数无穷大时会趋向于有限值;虚线是此前的对数增长模型,随雷诺数增加将发散于无穷。实形符号是全球范围内最大规模的槽道和圆管纳维斯托克斯方程直接数值模拟结果;空形符号是此前间接测量得到的数据。
在自然界和工业界,流体流经固体表面的边界层流动随处可见,如大气层、海洋、机翼、潜艇、石油管道等,因此,湍流边界层的预测和控制具有重要的科学和工程意义,而“湍流的终极统计态”也被2021年《Science》列为 “125个挑战性科学难题”。一百年前,流体力学名家普朗特和冯卡门建立了“壁面律”(Law of the wall)的经典理论,然而并没有表述湍流脉动量的变化,这正是陈曦教授的工作“有限耗散率理论”(Law of bounded dissipation)所要讨论的问题。在上述理论公式中,Φ指代的是流体脉动的统计平均量(如壁面摩擦阻力的脉动强度、最大能量耗散率、最大涡量脉动强度、最大压力脉动强度等);Φ∞是某有限取值;而两者的差别满足普适的Reτ-1/4标度律。按照这个公式,当雷诺数Reτ→∞(可以理解为流速趋于无穷大时)、湍流脉动在靠近壁面的各种极大值或者非零值都会收敛到有限值。因此,一旦证实,将会为提高湍流模型精度以及流动减阻控制产生重要的影响。
目前,陈曦教授在2021年的JFM论文已被Web of Science收录为高被引论文,国际上包括美国普林斯顿大学、意大利罗马大学、德国达姆施塔特工业大学等多个研究团队,采用世界上最大规模的流动实验和计算数据,跟进验证了这一理论,引发了包括美国波音公司高级专家在内的一批国际院士学者的密切关注。据悉,在2022年剑桥大学牛顿研究所举办的湍流学术会议上,澳大利亚科学院院士IvanMarusic教授对陈曦教授的论文进行了详细介绍和肯定,而且透露有计划建设更大规模的实验来开展极高雷诺数下的检验。在这场会议上,美国科学院、工程院院士,纽约大学Katepalli Sreenivasan教授也详细介绍了陈曦教授的工作(他是陈曦教授两篇JFM系列文章的唯一合作者),引发了与会学者充分讨论。
自入职北航的三年以来,陈曦教授在湍流边界层的基础研究上有多篇论文发表。2021年陈曦与美国数学家合作的湍流速度能谱理论引发了美国和中国互联网的讨论,今年被《Scientific American》的Space & Physics子刊进行了报道。
陈曦教授的这项工作受到了国家自然科学基金委面上项目、创新群体项目的支持,后续研究正在推进中。
附:论文地址:
1.www.cambridge.org/core/journals/journal-of-fluid-mechanics/focus-on-fluids
2.www.cambridge.org/core/journals/journal-of-fluid-mechanics/article/abs/law-of-bounded-dissipation-and-its-consequences-in-turbulent-wall-flows/A99073D7DEF5EF60D13DB4E266F41BF7
3.www.cambridge.org/core/journals/journal-of-fluid-mechanics/article/reynolds-number-scaling-of-the-peak-turbulence-intensity-in-wall-flows/76CE48629F0FAFE57F9F0596415991F0
(审核:鲍蕊)